题目内容

在四棱锥P-ABCD中,PA⊥平面ABCD,AD⊥AB,△ABC是正三角形,AC与BD的交点M恰好是AC中点,N为线段PB的中点,G在线段BM上,且

(Ⅰ)求证:AB⊥PD;

(Ⅱ)求证:GN//平面PCD.

 

【答案】

(Ⅰ)证明:见解析;(Ⅱ)见解析.

【解析】

试题分析:(Ⅰ)利用平面,得到,再由 ,即证得 平面.由 平面得证.

(Ⅱ)根据是正三角形,且中点,

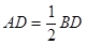
可得.

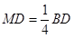
在直角三角形中,可得

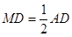
在直角三角形中,可得 ,再根据,得到,而为线段的中点, 得到即可推出平面.

试题解析:(Ⅰ)证明:因为平面,所以,       2分

又因为,所以平面,        4分

平面,所以.        6分

(Ⅱ)因为是正三角形,且中点,

所以,                 7分

在直角三角形中,,所以

在直角三角形中,

所以,所以,               10分

又因为,所以,又为线段的中点,所以

平面平面,所以平面        12分

考点:平行关系,垂直关系.

 

练习册系列答案
相关题目

违法和不良信息举报电话:027-86699610 举报邮箱:58377363@163.com

精英家教网