题目内容
已知等差数列的前项和满足,。
(Ⅰ)求的通项公式;
(Ⅱ)求数列的前项和。
(07年江西卷文)已知等差数列的前项和为,若,则 .
(理)已知等差数列的公差是,是该数列的前项和.(1)试用表示,其中、均为正整数;(2)利用(1)的结论求解:“已知,求”;(3)若数列前项的和分别为,试将问题(1)推广,探究相应的结论. 若能证明,则给出你的证明并求解以下给出的问题;若无法证明,则请利用你的研究结论和另一种方法计算以下给出的问题,从而对你猜想的可靠性作出自己的评价.问题:“已知等差数列的前项和,前项和,求数列的前2010项的和.”
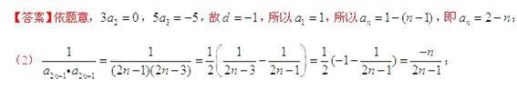
已知等差数列的前项和为,
(1)求数列的通项公式与前项和;
(2)设求证:数列中任意不同的三项都不可能成为等比数列.
已知等差数列的前项和为,且满足,则数列的公差是_________
已知等差数列的前项和为,且,.
(1)求的通项公式;
(2)设,求证:数列是等比数列,并求其前项和