题目内容
设数列{an}的前n项和为Sn=2n2,{bn}为等比数列,且a1=b1,b2(a2-a1)=b1.
(1)求数列{an}和{bn}的通项公式;
(2)设
,求数列{Cn}的前n项和Tn.
(1)求数列{an}和{bn}的通项公式;
(2)设
解:(1)设等比数列
的公比为q,
当n≥2时,
;
当n=1时,
;
所以,
,
又
,
所以,
,
于是,
,
所以,
。
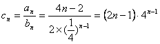
(2)由(1)可得,
,
数列
的前n项和

, ①
则
, ②
由①-②得,


,
所以,
。
当n≥2时,
当n=1时,
所以,
又
所以,
于是,
所以,
(2)由(1)可得,
数列
则
由①-②得,
所以,
练习册系列答案
相关题目