题目内容
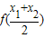
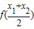
已知函数f(x)=x2+a,(x∈R).(1)对?x1,x2∈R比较
(2)若x∈[-1,1]时,有|f(x)|≤1,试求实数a的取值范围.
【答案】分析:(1)对?x1,x2∈R,用作差法比较两个数的大小关系.
(2)由于|f(x)|≤1,等价于-x2-1≤a≤-x2+1在[-1,1]上恒成立,即
,由此求得实数a的取值范围.
解答:解:(1)对?x1,x2∈R,由
-
=
,得
≥
.
(2)由于|f(x)|≤1,等价于-1≤f(x)≤1,等价于-1≤x2+a≤1,等价于-x2-1≤a≤-x2+1在[-1,1]上恒成立,
所以,只须
,求得-1≤a≤0,所以所求实数a的取值范围是[-1,0].
点评:本题主要考查绝对值不等式的解法,不等式比较大小的方法,求二次函数在闭区间上的最值,体现了等价转化的数学思想,属于中档题.
(2)由于|f(x)|≤1,等价于-x2-1≤a≤-x2+1在[-1,1]上恒成立,即
解答:解:(1)对?x1,x2∈R,由
(2)由于|f(x)|≤1,等价于-1≤f(x)≤1,等价于-1≤x2+a≤1,等价于-x2-1≤a≤-x2+1在[-1,1]上恒成立,
所以,只须
点评:本题主要考查绝对值不等式的解法,不等式比较大小的方法,求二次函数在闭区间上的最值,体现了等价转化的数学思想,属于中档题.
练习册系列答案
相关题目
| π |
| 2 |
A、f(x)=2sin(πx+
| ||
B、f(x)=2sin(2πx+
| ||
C、f(x)=2sin(πx+
| ||
D、f(x)=2sin(2πx+
|