题目内容
已知B为双曲线
【答案】分析:由题意可得B(
,0),由
=2
可得B为PA的中点,设P(x,y),由中点坐标公式可得
,解之,代入双曲线的方程化简可得.
解答:解:由题意可得B(
,0),由
=2
可得B为PA的中点,
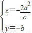
设P(x,y),由中点坐标公式可得
,
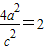
解得
,代入双曲线的方程可得
=1,
即
,解得
故答案为:
点评:本题为双曲线的离心率的求解,由已知得出关于a,c的等量关系是解决问题的关键,属基础题.
解答:解:由题意可得B(
设P(x,y),由中点坐标公式可得
解得
即
故答案为:
点评:本题为双曲线的离心率的求解,由已知得出关于a,c的等量关系是解决问题的关键,属基础题.
练习册系列答案
相关题目