题目内容

解不等式:

 

【答案】

【解析】

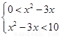
试题分析:依题意可得对数的真数要大于零,所以可得,又因为以10为底的对数是增函数所以可得.故可解得.本小题的关键是对数的真数要大于零同时含对数的不等式中1化为.

试题解析:因为由解得.故不等式的解集为.

考点:1.含对数不等式.2.对数的单调性.

 

练习册系列答案
相关题目

违法和不良信息举报电话:027-86699610 举报邮箱:58377363@163.com

精英家教网