题目内容
已知函数
的定义域为
.
⑴求
的取值范围;
⑵当
取最大值时,解关于
的不等式
.
【答案】
(1)
;(2)
.
【解析】
试题分析:(1)函数定义域为
,即不等式
恒成立,于是可转化为求一个绝对值函数的最值问题,这个问题既可化为分段函数解决,也可利用绝对值的几何意义解决;(2)这是一个解含绝对值的不等式问题,利用含绝对值不等式的一般解法,容易解决.
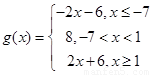
试题解析:⑴由题意,
恒成立,
设
,则
,
,
由题意得:
;
5分
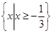
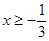
⑵由⑴知
的最大值为8,故原不等式即为
,
解得
,
所以原不等式的解集为
.
10分
考点:含绝对值的不等式.
练习册系列答案
相关题目
已知函数
的定义域为
,部分对应值如下表。
的导函数
的图像如图所示。
|
|
|
0 |
|
|
|
|
|
|
|
|
|
|
![]()
下列关于函数
的命题:
①函数
在
上是减函数;②如果当
时,
最大值是
,那么
的最大值为
;③函数
有
个零点,则
;④已知
是
的一个单调递减区间,则
的最大值为
。
其中真命题的个数是( )
A、4个 B、3个 C、2个 D、1个