题目内容
在△ABC中,角A,B,C所对的边分别为a,b,c,且a=2,cosB=(1)若b=3,求sinA的值;
(2)若△ABC的面积S△ABC=3,求b,c的值.
【答案】分析:(1)先根据cosB求得sinB,进而根据正弦定理求得sinA.
(2)先根据三角形的面积球的c,进而利用余弦定理求得b.
解答:解:(1)因为
,
所以
由正弦定理,得
(2)因为
,
所以
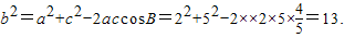
由余弦定理,得
所以
点评:本题主要考查了正弦定理和余弦定理的应用.作为解三角形问题常用的公式,应熟练记忆.
(2)先根据三角形的面积球的c,进而利用余弦定理求得b.
解答:解:(1)因为
所以
由正弦定理,得
(2)因为
所以
由余弦定理,得
所以
点评:本题主要考查了正弦定理和余弦定理的应用.作为解三角形问题常用的公式,应熟练记忆.
练习册系列答案
相关题目
在△ABC中,角A、B、C所对的边分别为a,b,c,若b2+c2-a2=
bc,且b=
a,则下列关系一定不成立的是( )
| 3 |
| 3 |
| A、a=c |
| B、b=c |
| C、2a=c |
| D、a2+b2=c2 |