题目内容
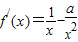
已知函数f(x)=lnx+(I)求函数f(x)的单调区间;
(II)试问过点(2,5)可作多少条直线与曲线y=g(x)相切?请说明理由.
【答案】分析:(I)对函数f(x)求导,当导数f'(x)大于0时可求单调增区间,当导数f'(x)小于0时可求单调减区间.
(II) 先表示出过点(2,5)与曲线y=g(x)相切的直线,进而假设函数,可求得切线的条数.
解答:解:(I) 由题意得,函数的定义域为(0,+∞),
=
当a≤0时,f′(x)>0恒成立,f(x)的单调递增区间为(0,+∞)
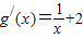
当a>0时,令 f′(x)>0,x>a
令 f′(x)<0,0<x<a
故f(x)的单调递增区间为 (a,+∞),单调递减区间为(0,a)
(II) 设切点为(m,n)

∴
∴
令
∴
由导数为0可得,x=2,
∴h(x)在(0,2)上单调递减,在(2,+∞)上单调递增
∴h(x)与x轴有两个交点
∴过点(2,5)可作2条曲线y=g(x)的切线.
点评:本题主要考查通过求函数的导数来确定函数增减区间的问题,考查利用导数解决切线问题,有一定的综合性..
(II) 先表示出过点(2,5)与曲线y=g(x)相切的直线,进而假设函数,可求得切线的条数.
解答:解:(I) 由题意得,函数的定义域为(0,+∞),
当a≤0时,f′(x)>0恒成立,f(x)的单调递增区间为(0,+∞)
当a>0时,令 f′(x)>0,x>a
令 f′(x)<0,0<x<a
故f(x)的单调递增区间为 (a,+∞),单调递减区间为(0,a)
(II) 设切点为(m,n)
∴
∴
令
∴
由导数为0可得,x=2,
∴h(x)在(0,2)上单调递减,在(2,+∞)上单调递增
∴h(x)与x轴有两个交点
∴过点(2,5)可作2条曲线y=g(x)的切线.
点评:本题主要考查通过求函数的导数来确定函数增减区间的问题,考查利用导数解决切线问题,有一定的综合性..
练习册系列答案
相关题目