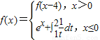
题目内容
若A.0
B.ln2
C.1+e2
D.1+ln2
【答案】分析:由题设知f(2012)=f(0),再由定积分能求出结果.
解答:解:∵
,
∴f(2012)=f(0)=e+ln2=1+ln2.
故选D.
点评:本题考查分段函数的求法,是基础题.解题时要认真审题,仔细解答,注意定积分的合理运用.
解答:解:∵
∴f(2012)=f(0)=e+ln2=1+ln2.
故选D.
点评:本题考查分段函数的求法,是基础题.解题时要认真审题,仔细解答,注意定积分的合理运用.
练习册系列答案
相关题目