题目内容

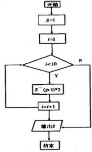
6.某科研所决定拿出一定数量的资金对科研人员决进行奖励,按照科研成果价值的大小决定奖励前十名,第一名得全部奖金的一半多1万元;第二名得剩余奖金的一半多1万元:第三 名再得剩余奖金的一半多1万元;依此类推,到第十名时,恰得奖金1万元.画出求该科研所总共拿出多少万元作为奖金的流程图.

分析 根据题意设第1名到第10名得到的奖金分别是S1,S2,…,S10,由科研人员得到的奖金为余下的一半多一万元,可得S10=1,S9=(1+1)×2,S8=(4+1)×2,…S1=(S2+1)×2,得递推公式S10=1,Sn=Sn+1+1,n=1,2,…9,根据以上思路,即可得程序框图.

解答 解:程序框图如下:

点评 本题主要考查了设计程序框图解决实际问题,由题意得到递推公式是解题的关键,属于基本知识的考查.

练习册系列答案
相关题目

违法和不良信息举报电话:027-86699610 举报邮箱:58377363@163.com

精英家教网