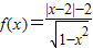
题目内容
函数
【答案】分析:先确定函数的定义域,再化简函数,验证f(-x)与f(x)的关系,可得结论.
解答:解:由题意,1-x2>0,∴-1<x<1,∴-3<x-2<-1
∴
=
∴
∴函数f(x)是奇函数
故答案为:奇函数
点评:本题考查函数的奇偶性,考查学生的计算能力,正确化简函数是关键.
解答:解:由题意,1-x2>0,∴-1<x<1,∴-3<x-2<-1
∴
∴
∴函数f(x)是奇函数
故答案为:奇函数
点评:本题考查函数的奇偶性,考查学生的计算能力,正确化简函数是关键.
练习册系列答案
相关题目