题目内容
已知
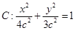
是椭圆
的右焦点,圆
与
轴交于
两点,
是椭圆
与圆
的一个交点,且
(Ⅰ)求椭圆
的离心率;
(Ⅱ)过点
与圆
相切的直线
与
的另一交点为
,且
的面积为
,求椭圆
的方程
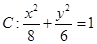
【答案】
(Ⅰ)
;(Ⅱ)![]()
【解析】
试题分析:(Ⅰ)根据椭圆的定义、几何性质可求;(Ⅱ)直线与椭圆相交,联立消元,设点代入化简,利用点到直线的距离来求
试题解析:(Ⅰ)由题意,
,
,
,
∵
,
,得
,
由
,
得
,
即椭圆
的离心率
(4分)
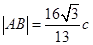
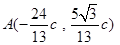
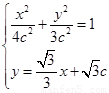
(Ⅱ)
的离心率
,令
,
,则![]()
直线![]()
,设![]()
由
得
,![]()
又点
到直线
的距离
,
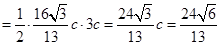
的面积![]()
,
解得![]()
故椭圆
(12分)
考点:椭圆,根与系数关系,坐标表示等,考查了学生的综合化简计算能力
练习册系列答案
相关题目