题目内容
已知函数f(x)=(Ⅰ)求函数f(x)的表达式;
(Ⅱ)当m满足什么条件时,函数f(x)在区间(m,2m+1)上单调递增?
【答案】分析:(Ⅰ)由求导公式和法则求出f′(x),再根据已知的切线方程,求出切线的斜率和切点的纵坐标,再列出方程求出a、b的值,代入解析式即可;
(Ⅱ)由(Ⅰ)求出f′(x),求出f′(x)≥0的解集,即函数的增区间,再由条件列出等价方程,求出m的范围.
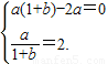
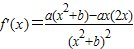
解答:解:(Ⅰ)由题意得,
,
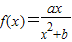
∵函数
在(-1,f(-1))处切线为y=-2,
∴
,即
解得
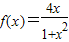
∴
.
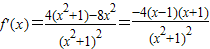
(Ⅱ)由(Ⅰ)知
,
由f′(x)≥0得,-1≤x≤1,即f(x)的单调增区间是[-1,1].
∵f(x)在区间(m,2m+1)上单调递增,
∴
,解得-1<m≤0.
∴当m∈(-1,0]时,函数f(x)在区间(m,2m+1)上单调递增.
点评:本题考查了导数的几何意义,即在某点处的切线的斜率是该点处的导数值,切点在曲线上和切线上的应用,以及导数与函数单调性的关系,属于中档题.
(Ⅱ)由(Ⅰ)求出f′(x),求出f′(x)≥0的解集,即函数的增区间,再由条件列出等价方程,求出m的范围.
解答:解:(Ⅰ)由题意得,
∵函数
∴
解得
∴
(Ⅱ)由(Ⅰ)知
由f′(x)≥0得,-1≤x≤1,即f(x)的单调增区间是[-1,1].
∵f(x)在区间(m,2m+1)上单调递增,
∴
∴当m∈(-1,0]时,函数f(x)在区间(m,2m+1)上单调递增.
点评:本题考查了导数的几何意义,即在某点处的切线的斜率是该点处的导数值,切点在曲线上和切线上的应用,以及导数与函数单调性的关系,属于中档题.
练习册系列答案
相关题目
已知函数f(x)=x2-bx的图象在点A(1,f(1))处的切线l与直线3x-y+2=0平行,若数列{
}的前n项和为Sn,则S2010的值为( )
| 1 |
| f(n) |
A、
| ||
B、
| ||
C、
| ||
D、
|