题目内容
已知函数f(x)=x2+2x。
(1)数列{an}满足:a1=1,an+1=
,求数列{an}的通项公式;
(2)已知数列{bn}满足b1=t>0,bn+1=f(bn)(n∈N*),求数列{bn}的通项公式;
(3)设
,数列{cn}的前n项和为Sn,若不等式λ<Sn对所有的正整数n恒成立,求λ的取值范围。
(1)数列{an}满足:a1=1,an+1=
(2)已知数列{bn}满足b1=t>0,bn+1=f(bn)(n∈N*),求数列{bn}的通项公式;
(3)设
解:(1)f'(x)=2x+2
∴
∴
{an+2}为等比数列
∴
∴
。
(2)由已知,得
∴
又lg(b1+1)=lg(t+1)≠0,
所以{lg(bn+1)}是公比为2的等比数列
∴
。
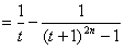
(3)∵
∴
,k=1,2,…,n.
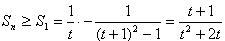
∴Sn=c1+c2+…+cn


∵t>0,
∴t+1>1,
∴Sn在n∈[1,+∞)上是增函数,
∴
又不等式λ<Sn对所有的正整数n恒成立,
故λ的取值范围是
。
∴
∴
{an+2}为等比数列
∴
∴
(2)由已知,得
∴
又lg(b1+1)=lg(t+1)≠0,
所以{lg(bn+1)}是公比为2的等比数列
∴
(3)∵
∴
∴Sn=c1+c2+…+cn
∵t>0,
∴t+1>1,
∴Sn在n∈[1,+∞)上是增函数,
∴
又不等式λ<Sn对所有的正整数n恒成立,
故λ的取值范围是
练习册系列答案
相关题目
| π |
| 2 |
A、f(x)=2sin(πx+
| ||
B、f(x)=2sin(2πx+
| ||
C、f(x)=2sin(πx+
| ||
D、f(x)=2sin(2πx+
|