题目内容
已知函数
.
(1)求f(f(2))的值;
(2)判断函数在(﹣1,+∞)上单调性,并用定义加以证明.
(1)求f(f(2))的值;
(2)判断函数在(﹣1,+∞)上单调性,并用定义加以证明.
解:(1)∵函数
.
∴f(2)=![]()
∴f(f(2))=f(
)=![]()
(2)函数在(﹣1,+∞)上单调递增,理由如下:
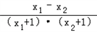
任取区间(﹣1,+∞)上两个实数x1,x2,
且x1<x2,则x1﹣x2<0,x1+1>,x2+1>0
则f(x1)﹣f(x2)=
﹣
=
<0
即f(x1)<f(x2)
故函数在(﹣1,+∞)上为增函数
练习册系列答案
相关题目