题目内容
已知函数
(1)求函数f(x)的定义域,并判断函数f(x)的奇偶性;
(2)对于x∈[2,6],
恒成立,
求实数m取值范围.
(1)求函数f(x)的定义域,并判断函数f(x)的奇偶性;
(2)对于x∈[2,6],
求实数m取值范围.
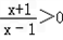
解:(1)由
,解得x<﹣1或x>1,
∴定义域为(﹣∞,﹣1)∪(1,+∞)
当x∈(﹣∞,﹣1)∪(1,+∞)时
∴
是奇函数.
(2)由x∈[2,6]时,
恒成立,
∴
,
∵x∈[2,6],
∴0<m<(x+1)(7﹣x)在x∈[2,6]成立
令g(x)=(x+1)(7﹣x)=﹣(x﹣3)2+16,
x∈[2,6], 由二次函数的性质可知x∈[2,3]时函数单调递增,
x∈[3,6]时函数单调递减,
∴x∈[2,6]时,g(x)min=g(6)=7
∴0<m<7
∴定义域为(﹣∞,﹣1)∪(1,+∞)
当x∈(﹣∞,﹣1)∪(1,+∞)时
∴
(2)由x∈[2,6]时,
∴
∵x∈[2,6],
∴0<m<(x+1)(7﹣x)在x∈[2,6]成立
令g(x)=(x+1)(7﹣x)=﹣(x﹣3)2+16,
x∈[2,6], 由二次函数的性质可知x∈[2,3]时函数单调递增,
x∈[3,6]时函数单调递减,
∴x∈[2,6]时,g(x)min=g(6)=7
∴0<m<7
练习册系列答案
相关题目