题目内容
已知等差数列{an}中,a3+a6=17,a1a8=-38且a1<a8.(1)求{an}的通项公式;
(2)调整数列{an}的前三项a1、a2、a3的顺序,使它成为等比数列{bn}的前三项,求{bn}的前n项和.
【答案】分析:(1)先利用已知条件求得a1=-2,a8=19进而求出公差即可求{an}的通项公式;
(2)先求出数列{an}的前三项再利用等比数列满足的条件进行调整,求出等比数列{bn}的前三项,知道首项和公比,再代入等比数列的求和公式即可求出{bn}的前n项和.
解答:解:(1)由已知,得求得a1=-2,a8=19
∴{an}的公差d=3 (2分)
∴an=a1+(n-1)d=-2+3(n-1)
=3n-5;(4分)
(2)由(1),得a3=a2+d=1+3=4,
∴a1=-2,a2=1,a3=4.
依题意可得:数列{bn}的前三项为
b1=1,b2=-2,b3=4或b1═4,b2=-2,b3=1.
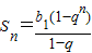
(i)当数列{bn}的前三项为b1=1,b2=-2,b3=4时,则q=-2,(6分)
∴
=
(8分)
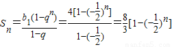
(ii)当数列{bn}的前三项为b1=4,b2=-2,b3=1时,则
.(10分)
∴
.(12分)
点评:本题主要是对等差数列和等比数列的性质以及数列求和公式的综合考查.在对等比数列进行求和时,一定要先看等比数列的公比是否为1,再代入求和公式.
(2)先求出数列{an}的前三项再利用等比数列满足的条件进行调整,求出等比数列{bn}的前三项,知道首项和公比,再代入等比数列的求和公式即可求出{bn}的前n项和.
解答:解:(1)由已知,得求得a1=-2,a8=19
∴{an}的公差d=3 (2分)
∴an=a1+(n-1)d=-2+3(n-1)
=3n-5;(4分)
(2)由(1),得a3=a2+d=1+3=4,
∴a1=-2,a2=1,a3=4.
依题意可得:数列{bn}的前三项为
b1=1,b2=-2,b3=4或b1═4,b2=-2,b3=1.
(i)当数列{bn}的前三项为b1=1,b2=-2,b3=4时,则q=-2,(6分)
∴
(ii)当数列{bn}的前三项为b1=4,b2=-2,b3=1时,则
∴
点评:本题主要是对等差数列和等比数列的性质以及数列求和公式的综合考查.在对等比数列进行求和时,一定要先看等比数列的公比是否为1,再代入求和公式.
练习册系列答案
相关题目