题目内容
已知A.-1
B.1
C.2
D.3
【答案】分析:由复数的运算化简式子的左边可得2-ai=b+i,由复数相等的定义可得:
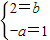
,解之可得答案.
解答:解:因为
=b+i,而
=
=2-ai,
所以2-ai=b+i,由复数相等的充要条件可得:
,
解得a=-1,b=2,故a+b=-1+2=1,
故选B
点评:本题考查复数相等的充要条件和复数的化简运算,属基础题.
解答:解:因为
所以2-ai=b+i,由复数相等的充要条件可得:
解得a=-1,b=2,故a+b=-1+2=1,
故选B
点评:本题考查复数相等的充要条件和复数的化简运算,属基础题.
练习册系列答案
相关题目