题目内容

已知数列的前n项和为Sn,且满足
(1)求数列{an}的通项公式;
(2)若bn=log2an,且数列{cn}的前n项和为Tn,求Tn的取值范围.
解:(1)当n=1时,,解得=2
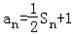
当n≥2时,…①
…②
②﹣①得
即an=2an﹣1
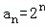
∴数列{an}是以2为首项,2为公比的等比数列

(2)
=
∵n∈N*

练习册系列答案
相关题目

违法和不良信息举报电话:027-86699610 举报邮箱:58377363@163.com

精英家教网