题目内容
已知数列{an}的前n项的和Sn=an-1(a是不为0的实数),那么{an}( )A.一定是等差数列
B.一定是等比数列
C.或者是等差数列,或者是等比数列
D.既不可能是等差数列,也不可能是等比数列
【答案】分析:由题意可知,当a=1时,Sn=0,判断数列是否是等差数列;当a≠1时,利用
,判断数列{an}是等差数列还是等比数列.
解答:解:①当a=1时,Sn=0,
且a1=a-1=0,
an=Sn-Sn-1=(an-1)-(an-1-1)=0,(n>1)
an-1=Sn-1-Sn-2=(an-1-1)-(an-2-1)=0,
∴an-an-1=0,
∴数列{an}是等差数列.
②当a≠1时,
a1=a-1,
an=Sn-Sn-1=(an-1)-(an-1-1)=an-an-1,(n>1)
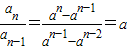
an-1=Sn-1-Sn-2=(an-1-1)-(an-2-1)=an-1-an-2,(n>2)
,(n>2)
∴数列{an}是等比数列.
综上所述,数列{an}或是等差数列或是等比数列.
故选C.
点评:本题考查数列的概念,等差数列与等比数列的判定,解题时要注意a=0的情况,避免丢解以及n的范围满足数列的定义.
解答:解:①当a=1时,Sn=0,
且a1=a-1=0,
an=Sn-Sn-1=(an-1)-(an-1-1)=0,(n>1)
an-1=Sn-1-Sn-2=(an-1-1)-(an-2-1)=0,
∴an-an-1=0,
∴数列{an}是等差数列.
②当a≠1时,
a1=a-1,
an=Sn-Sn-1=(an-1)-(an-1-1)=an-an-1,(n>1)
an-1=Sn-1-Sn-2=(an-1-1)-(an-2-1)=an-1-an-2,(n>2)
∴数列{an}是等比数列.
综上所述,数列{an}或是等差数列或是等比数列.
故选C.
点评:本题考查数列的概念,等差数列与等比数列的判定,解题时要注意a=0的情况,避免丢解以及n的范围满足数列的定义.
练习册系列答案
相关题目
已知数列{an}的前n项和Sn=an2+bn(a、b∈R),且S25=100,则a12+a14等于( )
| A、16 | B、8 | C、4 | D、不确定 |