题目内容
已知函数f(x)=sinxcosψ+cosxsinψ(其中x∈R,0<ψ<π),
(1)求函数f(x)的最小正周期;
(2)若函数y=f(2x+
)的图象关于直线x=
对称,求ψ的值。
(1)求函数f(x)的最小正周期;
(2)若函数y=f(2x+
解:(1)因为f(x)=sin(x+ψ),
所以函数f(x)的最小正周期为2π.
(2)因为函数
,
又y=sinx的图象的对称轴为
,
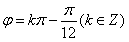
令
,
将
代入,得
,
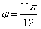
因为0<ψ<π,
所以
。
所以函数f(x)的最小正周期为2π.
(2)因为函数
又y=sinx的图象的对称轴为
令
将
因为0<ψ<π,
所以
练习册系列答案
相关题目