题目内容
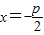
已知抛物线C:y2=2Px(p>0)上横坐标为4的点到焦点的距离为5.(Ⅰ)求抛物线C的方程;
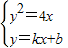
(Ⅱ)设直线y=kx+b(k≠0)与抛物线C交于两点A(x1,y1),B(x2,y2),且|y1-y2|=a(a>0),求证:a2=
【答案】分析:(Ⅰ)由抛物线的定义直接列式求出p,则抛物线C的方程可求;
(Ⅱ)联立直线和抛物线方程,化为关于y的一元二次方程后利用根与系数关系写出两交点纵坐标的和与积,代入|y1-y2|=a化简即可证明等式.
解答:(Ⅰ)解:由抛物线定义,抛物线C:y2=2Px(p>0)上点P(4,y)到焦点的距离等于它到准线
的距离,得
,
∴p=2,
所以抛物线C的方程为y2=4x;
(Ⅱ)证明:由
,得ky2-4y+4b=0,
当△=16-16kb>0,即kb<1且k≠0 时,
,
由|y1-y2|=a,即
,
所以
.
点评:本题考查抛物线的定义及轨迹方程的求法,关键是看清题中给出的条件,灵活运用韦达定理进行求解,是中档题.
(Ⅱ)联立直线和抛物线方程,化为关于y的一元二次方程后利用根与系数关系写出两交点纵坐标的和与积,代入|y1-y2|=a化简即可证明等式.
解答:(Ⅰ)解:由抛物线定义,抛物线C:y2=2Px(p>0)上点P(4,y)到焦点的距离等于它到准线
∴p=2,
所以抛物线C的方程为y2=4x;
(Ⅱ)证明:由
当△=16-16kb>0,即kb<1且k≠0 时,
由|y1-y2|=a,即
所以
点评:本题考查抛物线的定义及轨迹方程的求法,关键是看清题中给出的条件,灵活运用韦达定理进行求解,是中档题.
练习册系列答案
相关题目