题目内容
已知椭圆C:(Ⅰ)求椭圆C的方程;
(Ⅱ)是否存在过点A(4,0)的直线m与椭圆C相交于不同的两点M、N,使得36|AP|2=35|AM|•|AN|?若存在,试求出直线m的方程;若不存在,请说明理由.
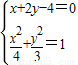
【答案】分析:(Ⅰ)由题得过两点A(4,0),B(0,2),直线l的方程为x+2y-4=0.因为
,所以a=2c,b=
.再由直线l与椭圆C相切,能求出椭圆方程.
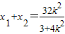
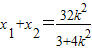
(Ⅱ)设直线m的方程为y=k(x-4),由
,得(3+4k2)x2-32k2x+64k2-12=0.由题意知△=(32k2)2-4(3+4k2)(64k2-12)>0,解得-
<k<
.设M(x1,y1),N(x2,y2),则
,
.由此能求出直线m的方程.
解答:解:(Ⅰ)由题得过两点A(4,0),B(0,2),直线l的方程为x+2y-4=0.…(1分)
因为
,所以a=2c,b=
.
设椭圆方程为
,
由
,消去x得,4y2-12y+12-3c2=0.
又因为直线l与椭圆C相切,所以△=122-4×4(12-3c2)=0,解得c2=1.
所以椭圆方程为
.…(5分)
(Ⅱ)∵直线m的斜率存在,∴设直线m的方程为y=k(x-4),…(6分)
由
,消去y,
整理得(3+4k2)x2-32k2x+64k2-12=0.…(7分)
由题意知△=(32k2)2-4(3+4k2)(64k2-12)>0,
解得-
<k<
.…(8分)
设M(x1,y1),N(x2,y2),
则
,
.…(9分)
又直线l:x+2y-4=0与椭圆C:
相切,
由
,
解得
,所以P(1,
).…(10分)
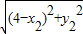
则
.所以|AM|•|AN|=
=
.
又
•
=
•
=(k2+1)(4-x1)(4-x2)
=
=(k2+1)(
-4×
+16)
=(k2+1)•
.
所以(k2+1)•
=
,解得k=
.经检验成立.…(13分)
所以直线m的方程为y=
.…(14分)
点评:本题考查椭圆方程的求法,探索直线方程是否存在.综合性强,难度大,是高考的重点,解题时要认真审题,仔细解答,注意合理地进行等价转化.
(Ⅱ)设直线m的方程为y=k(x-4),由
解答:解:(Ⅰ)由题得过两点A(4,0),B(0,2),直线l的方程为x+2y-4=0.…(1分)
因为
设椭圆方程为
由
又因为直线l与椭圆C相切,所以△=122-4×4(12-3c2)=0,解得c2=1.
所以椭圆方程为
(Ⅱ)∵直线m的斜率存在,∴设直线m的方程为y=k(x-4),…(6分)
由
整理得(3+4k2)x2-32k2x+64k2-12=0.…(7分)
由题意知△=(32k2)2-4(3+4k2)(64k2-12)>0,
解得-
设M(x1,y1),N(x2,y2),
则
又直线l:x+2y-4=0与椭圆C:
由
解得
则
又
=
=(k2+1)(4-x1)(4-x2)
=
=(k2+1)(
=(k2+1)•
所以(k2+1)•
所以直线m的方程为y=
点评:本题考查椭圆方程的求法,探索直线方程是否存在.综合性强,难度大,是高考的重点,解题时要认真审题,仔细解答,注意合理地进行等价转化.
练习册系列答案
相关题目