题目内容
已知正数数列{an}和{bn}满足:对任意(n∈N*),an,bn,an+1成等差数列,且
,
(1)求证:数列
是等差数列;
(2)设a1=1,a2=2,求{an}和{bn}的通项公式。
(1)求证:数列
(2)设a1=1,a2=2,求{an}和{bn}的通项公式。
(1)证明:由题意知,
,且
,
又
,
∴
,
,
∴
,
即
,
故数列
为等差数列。
(2)解:由
,得
,
又由
,得
,∴
,
∴
,
∴数列
的公差
,
∴
,
∴
,
∴
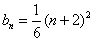
,
∴
。
又
∴
∴
即
故数列
(2)解:由
又由
∴
∴数列
∴
∴
∴
∴
练习册系列答案
相关题目