题目内容
设等比数列{an}共有3n项,它的前2n项的和为100,后2n项之和为200,则该等比数列中间n项的和等于 .
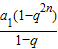
【答案】分析:首先利用等比数列的前n项和公式求出S2n=
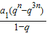
=100,S3n-Sn=
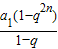
=200,即可求出qn=2,再根据S2n=100=
=3Sn,求出sn即可求出结果.
解答:解:S2n=
=100
S3n-Sn=
=200,
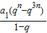
解得qn=2 S2n=100=
=(1+qn)Sn=3Sn
∴Sn=
中间n项为100-
=
故答案为:
.
点评:本题考查了等比数列的性质以及前n项和公式,要注意认真计算,属于中档题.
解答:解:S2n=
S3n-Sn=
解得qn=2 S2n=100=
∴Sn=
故答案为:
点评:本题考查了等比数列的性质以及前n项和公式,要注意认真计算,属于中档题.
练习册系列答案
相关题目