题目内容
已知函数f(x)=x3+2x2﹣ax,对于任意实数x恒有f'(x)≥2x2+2x﹣4,
(1)求实数a的取值范围;
(2)当a最大时,关于x的方程f(x)=k|x|恰有两个不同的根,求实数k的取值范围.
(1)求实数a的取值范围;
(2)当a最大时,关于x的方程f(x)=k|x|恰有两个不同的根,求实数k的取值范围.
解:(1)求导函数得:f'(x)=3x2+4x﹣a,
对于任意实数x恒有f'(x)≥2x2+2x﹣4,
即3x2+4x﹣a≥2x2+2x﹣4在R上恒成立,
即x2+2x﹣a+4≥0在R上恒成立,
∴△=4+4a﹣16≤0
∴a≤3.
(2)当a=3时,f(x)=x3+2x2﹣3x=x(x+3)(x﹣1),
关于x的方程f(x)=k|x|为x(x+3)(x﹣1)=k|x|
易知其中一个根必然是x=0,
所以当x=0时方程有一个根.
要使关于x的方程f(x)=k|x|恰有两个不同的根,
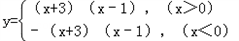
只需要
与y=k有一个交点

由图可得k的取值范围为k>4,或k<﹣3.
对于任意实数x恒有f'(x)≥2x2+2x﹣4,
即3x2+4x﹣a≥2x2+2x﹣4在R上恒成立,
即x2+2x﹣a+4≥0在R上恒成立,
∴△=4+4a﹣16≤0
∴a≤3.
(2)当a=3时,f(x)=x3+2x2﹣3x=x(x+3)(x﹣1),
关于x的方程f(x)=k|x|为x(x+3)(x﹣1)=k|x|
易知其中一个根必然是x=0,
所以当x=0时方程有一个根.
要使关于x的方程f(x)=k|x|恰有两个不同的根,
只需要
由图可得k的取值范围为k>4,或k<﹣3.
练习册系列答案
相关题目
| π |
| 2 |
A、f(x)=2sin(πx+
| ||
B、f(x)=2sin(2πx+
| ||
C、f(x)=2sin(πx+
| ||
D、f(x)=2sin(2πx+
|