题目内容
在△ABC中,内角A,B,C的对边分别是a,b,c,已知c=2,
。
(Ⅰ)若△ABC的面积等于
,求a,b;
(Ⅱ)若sinC+sin(B-A)=2sin2A,求△ABC的面积。
(Ⅰ)若△ABC的面积等于
(Ⅱ)若sinC+sin(B-A)=2sin2A,求△ABC的面积。
解:(Ⅰ)由余弦定理及已知条件得,
,
又因为△ABC的面积等于
,
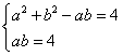
所以
,得ab=4,
联立方程组
,解得a=2,b=2。
(Ⅱ)由题意得sin(B+A)+sin(B-A)=4sinAcosA,
即sinBcosA=2sinAcosA,
当cosA=0时,
,
,
,
;
当cosA≠0时,得sinB=2sinA,由正弦定理得b=2a,
联立方程组
,解得
,
,
所以△ABC的面积
。
又因为△ABC的面积等于
所以
联立方程组
(Ⅱ)由题意得sin(B+A)+sin(B-A)=4sinAcosA,
即sinBcosA=2sinAcosA,
当cosA=0时,
当cosA≠0时,得sinB=2sinA,由正弦定理得b=2a,
联立方程组
所以△ABC的面积
练习册系列答案
相关题目