题目内容
已知函数f(n)=n2cos(nπ),且an=f(n)+f(n+1),则a1+a2+a3+…+a100=( )A.0
B.-100
C.100
D.10200
【答案】分析:先求出分段函数f(n)的解析式,进一步给出数列的通项公式,再使用分组求和法,求解.
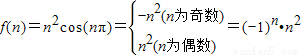
解答:解:∵
,
由an=f(n)+f(n+1)
=(-1)n•n2+(-1)n+1•(n+1)2
=(-1)n[n2-(n+1)2]
=(-1)n+1•(2n+1),
得a1+a2+a3+…+a100=3+(-5)+7+(-9)+…+199+(-201)=50×(-2)=-100.
故选B
点评:本小题是一道分段数列的求和问题,综合三角知识,主要考查分析问题和解决问题的能力.
解答:解:∵
由an=f(n)+f(n+1)
=(-1)n•n2+(-1)n+1•(n+1)2
=(-1)n[n2-(n+1)2]
=(-1)n+1•(2n+1),
得a1+a2+a3+…+a100=3+(-5)+7+(-9)+…+199+(-201)=50×(-2)=-100.
故选B
点评:本小题是一道分段数列的求和问题,综合三角知识,主要考查分析问题和解决问题的能力.
练习册系列答案
相关题目