题目内容
已知数列{an}中,(1)求证:k=1;
(2)求数列{an}的通项公式;
(3)求数列
【答案】分析:(1)利用数列递推式,确定k+1=a2=2k,即可求得结论;
(2)利用叠乘法,可求数列{an}的通项公式;
(3)分类讨论,利用错位相减法可求数列
的前n项和.
解答:(1)证明:∵
,∴
,
又∵
(n∈N+,n≥2)
∴
,∴
,
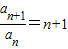
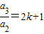
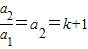
∵
,∴a2=2k.
∴k+1=a2=2k,∴k=1.
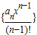
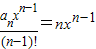
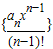
(2)解:
,
=n•(n-1)•…•2•1=n!
(3)解:设数列
的前n项和为Sn,
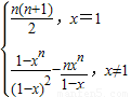
因为
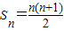
,所以,当x=1时,
,
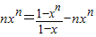
当x≠1时,
①
①•x得
+nxn②
由①-②得:
-
∴
综上所述:Sn=
点评:本题考查数列递推式,考查叠乘法的运用,考查错位相减法求数列的和,正确运用求通项与求和的方法是关键.
(2)利用叠乘法,可求数列{an}的通项公式;
(3)分类讨论,利用错位相减法可求数列
解答:(1)证明:∵
又∵
∴
∵
∴k+1=a2=2k,∴k=1.
(2)解:
(3)解:设数列
因为
当x≠1时,
①•x得
由①-②得:
∴
综上所述:Sn=
点评:本题考查数列递推式,考查叠乘法的运用,考查错位相减法求数列的和,正确运用求通项与求和的方法是关键.
练习册系列答案
相关题目
已知数列{an}中,a1=1,2nan+1=(n+1)an,则数列{an}的通项公式为( )
A、
| ||
B、
| ||
C、
| ||
D、
|