题目内容
已知三个数成等差数列,首末两项之积为中项的5倍,后两项的和为第一项的8倍,求这三个数.
【答案】分析:由题意设这三个数为a-d,a,a+d,然后根据给出的条件列方程组,求出a,d后则这三个数可求.
解答:解:设这三个数为a-d,a,a+d,
则
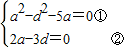
,即
,
由②得
③,
把③代入①得:
,所以d=0或d=6.
把d=0或d=6代入③得
或
,
所以这三个数分别为3,9,15或0,0,0.
点评:本题考查了等差数列的通项公式,对于给出的三个数成等差数列问题,解答中的设法是常用的,若是四个数成等差数列,可分别设为a-3d,a-d,a+d,a+3d.此题是基础题.
解答:解:设这三个数为a-d,a,a+d,
则
由②得
把③代入①得:
把d=0或d=6代入③得
所以这三个数分别为3,9,15或0,0,0.
点评:本题考查了等差数列的通项公式,对于给出的三个数成等差数列问题,解答中的设法是常用的,若是四个数成等差数列,可分别设为a-3d,a-d,a+d,a+3d.此题是基础题.
练习册系列答案
相关题目