题目内容
设数列{an}的前n项和为Sn=2n2,{bn}为等比数列,且a1=b1,b2(a2-a1)=b1.(Ⅰ)求数列{an}和{bn}的通项公式;
(Ⅱ)设cn=
【答案】分析:(I)由已知利用递推公式
可得an,代入分别可求数列bn的首项b1,公比q,从而可求bn
(II)由(I)可得cn=(2n-1)•4n-1,利用乘“公比”错位相减求和.
解答:解:(1):当n=1时,a1=S1=2;当n≥2时,an=Sn-Sn-1=2n2-2(n-1)2=4n-2,
故{an}的通项公式为an=4n-2,即{an}是a1=2,公差d=4的等差数列.
设{bn}的通项公式为q,则b1qd=b1,d=4,∴q=
.
故bn=b1qn-1=2×
,即{bn}的通项公式为bn=
.
(II)∵cn=
=
=(2n-1)4n-1,
Tn=c1+c2+…+cn
Tn=1+3×41+5×42+…+(2n-1)4n-1
4Tn=1×4+3×42+5×43+…+(2n-3)4n-1+(2n-1)4n
两式相减得,3Tn=-1-2(41+42+43+…+4n-1)+(2n-1)4n=
[(6n-5)4n+5]
∴Tn=
[(6n-5)4n+5]
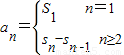
点评:(I)当已知条件中含有sn时,一般会用结论
来求通项,一般有两种类型:①所给的sn=f(n),则利用此结论可直接求得n>1时数列{an}的通项,但要注意检验n=1是否适合②所给的sn是含有an的关系式时,则利用此结论得到的是一个关于an的递推关系,再用求通项的方法进行求解.
(II)求和的方法的选择主要是通项,本题所要求和的数列适合乘“公比”错位相减的方法,此法是求和中的重点,也是难点.
(II)由(I)可得cn=(2n-1)•4n-1,利用乘“公比”错位相减求和.
解答:解:(1):当n=1时,a1=S1=2;当n≥2时,an=Sn-Sn-1=2n2-2(n-1)2=4n-2,
故{an}的通项公式为an=4n-2,即{an}是a1=2,公差d=4的等差数列.
设{bn}的通项公式为q,则b1qd=b1,d=4,∴q=
故bn=b1qn-1=2×
(II)∵cn=
Tn=c1+c2+…+cn
Tn=1+3×41+5×42+…+(2n-1)4n-1
4Tn=1×4+3×42+5×43+…+(2n-3)4n-1+(2n-1)4n
两式相减得,3Tn=-1-2(41+42+43+…+4n-1)+(2n-1)4n=
∴Tn=
点评:(I)当已知条件中含有sn时,一般会用结论
(II)求和的方法的选择主要是通项,本题所要求和的数列适合乘“公比”错位相减的方法,此法是求和中的重点,也是难点.
练习册系列答案
相关题目