题目内容
已知x>0,y>0,且x+y=1,求
【答案】分析:
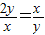
=3+
+
≥3+2
,当且仅当
时,等号成立.
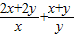
解答:解:
=
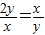
=3+
+
≥3+2
,当且仅当
时,等号成立.
故答案为:
.
点评:本题考查基本不等式的应用,注意基本不等式的使用条件,并注意检验等号成立的条件.
解答:解:
故答案为:
点评:本题考查基本不等式的应用,注意基本不等式的使用条件,并注意检验等号成立的条件.
练习册系列答案
相关题目
(2007
宁夏,7)已知x>0,y>0,x,a,b,y成等差数列,x,c,d,y成等比数列,则[
]|
A .0 |
B .1 |
C .2 |
D .4 |