题目内容
过点P(4,2)作相互垂直的直线l1和l2,使得l1与x轴的正半轴相交于点A,l2与y轴的正半轴相交于点B,若直线AB平分四边形OAPB的面积,求直线AB的方程.
【答案】分析:设A(a,0)、B(0,b).得到直线AB,由题知PA⊥PB即直线MA与直线MB的斜率乘积为-1,得到a与b的关系式;又因为四边形OAPB的面积被直线AB平分得到M到直线AB与O到直线AB的距离相等得到a与b的关系式,两者联立求出a和b即可得到直线AB的方程.
解答:解:由题意,设A(a,0)、B(0,b).则直线AB方程为
(a>0,b>0),
∵,PA⊥PB,∴
×
=-1,化简得b=10-2a.
∵b>0,∴0<a<5.直线AB的一般式方程为bx+ay-ab=0
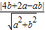
∴点P(4,2)到直线AB的距离为d1=
.
又∵原点O到直线AB的距离为d2=
,
∵四边形OAPB的面积被直线AB平分,∴d1=d2,
∴4b+2a-ab=±ab,又∵b=10-2a.
解得
或
,
∴所求直线AB的方程为x+2y-4=0或2x+y-5=0.
点评:本题考查学生理解两直线垂直的能力,灵活运用点到直线距离公式的是解决问题的关键,属中档题.
解答:解:由题意,设A(a,0)、B(0,b).则直线AB方程为
∵,PA⊥PB,∴
∵b>0,∴0<a<5.直线AB的一般式方程为bx+ay-ab=0
∴点P(4,2)到直线AB的距离为d1=
又∵原点O到直线AB的距离为d2=
∵四边形OAPB的面积被直线AB平分,∴d1=d2,
∴4b+2a-ab=±ab,又∵b=10-2a.
解得
∴所求直线AB的方程为x+2y-4=0或2x+y-5=0.
点评:本题考查学生理解两直线垂直的能力,灵活运用点到直线距离公式的是解决问题的关键,属中档题.
练习册系列答案
相关题目