题目内容
(12分)在△ABC中,已知,.
答案
.(本小题满分12分)在△ABC中,∠C = 90o ,BC = 1.以A为圆心,AC为半径画弧交AB于D,在由弧CD与直线段BD、BC所围成的范围内作内接正方形EFGH(如图)。设AC = x,EF = y ,(1)求y与x的函数关系式;(2)正方形EFGH的面积是否有最大值?试证明你的结论。
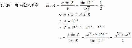
(本小题满分12分)在△ABC中,已知,,B=45°求及c 。
(本小题满分12分)在△ABC中,分别为内角A, B, C的对边,且
(1)求角A的大小;
(2)求的最大值.
(本题12分)在⊿ABC中,∠C的平分线所在的直线为x轴,若A、B坐标分别为A(3,2)、B(5,-3),求点C的坐标,并求⊿ABC的面积
(本小题满分12分)
在△ABC中,设内角A、B、C的对边分别为a、b、c,
(Ⅰ)求角C的大小;
(Ⅱ)若且,求的面积.