题目内容

如图所示,在正三棱柱ABC-A1B1C1中,AA1=3,AB=2,D是A1B1的中点,E在线段CC1上且C1E=2,
(Ⅰ)证明:DC⊥面ABE;
(Ⅱ)求二面角D-AE-B的大小.

(Ⅰ)证明:已知ABC-A1B1C1是正三棱柱,取AC中点O、A1C1中点F,
连OF、OB,则OB、OC、OF两两垂直,
以OB、OC、OF为x、y、z轴建立空间直角坐标系,如图所示,
∵AB=2,AA1=3,C1E=2,



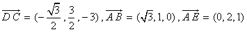
于是,有DC⊥AB、DC⊥AE,
又因AB与AE相交,故DC⊥面ABE.
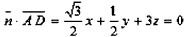
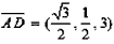
(Ⅱ)解:由(Ⅰ)知,是面ABE的一个法向量,
是面ADE的一个法向量,
,①
,②
取z=2,联立①、②解得,则
因为二面角D-AE-B是锐二面角,记其大小为θ,

所以,二面角D-AE-B的大小

练习册系列答案
相关题目

违法和不良信息举报电话:027-86699610 举报邮箱:58377363@163.com

精英家教网