题目内容
如图,F1,F2分别是双曲线C:A.
B.
C.
D.
【答案】分析:确定PQ,MN的斜率,求出直线PQ与渐近线的交点的坐标,得到MN的方程,从而可得M的横坐标,利用|MF2|=|F1F2|,即可求得C的离心率.
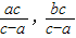
解答:解:|OB|=b,|O F1|=c.∴kPQ=
,kMN=-
.
直线PQ为:y=
(x+c),两条渐近线为:y=
x.
由
,得Q(
);由
得P
.
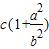
∴直线MN为
,
令y=0得:xM=
.
又∵|MF2|=|F1F2|=2c,
∴3c=xM=
,
∴3a2=2c2
解之得:
,即e=
.
故选B.
点评:本题考查双曲线的几何形状,考查解方程组,考查学生的计算能力,属于中档题.
解答:解:|OB|=b,|O F1|=c.∴kPQ=
直线PQ为:y=
由
∴直线MN为
令y=0得:xM=
又∵|MF2|=|F1F2|=2c,
∴3c=xM=
∴3a2=2c2
解之得:
故选B.
点评:本题考查双曲线的几何形状,考查解方程组,考查学生的计算能力,属于中档题.
练习册系列答案
相关题目