题目内容
已知函数f(x)=2sin2x.(Ⅰ)求函数f(x)最小正周期;
(Ⅱ)若f(x)=2,求x的值;
(Ⅲ)写出函数f(x)的单调递减区间.
【答案】分析:(1)按三角函数周期公式直接求解;
(2)把f(x)=2带入,解三角函数2=2sin2x;
(3)根据正弦函数的单调性进行分析;
解答:解:(1)T=
=π…4分
(2)∵f(x)=2
∴2=2sin2x
即sin2x=1
∴2x=
x=
…9分
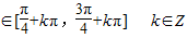
(3)函数f(x)=2sin2x的单调递减区间为2x
即x
…14分
点评:考查了三角函数的基本性质,属于基础题.
(2)把f(x)=2带入,解三角函数2=2sin2x;
(3)根据正弦函数的单调性进行分析;
解答:解:(1)T=
(2)∵f(x)=2
∴2=2sin2x
即sin2x=1
∴2x=
x=
(3)函数f(x)=2sin2x的单调递减区间为2x
即x
点评:考查了三角函数的基本性质,属于基础题.
练习册系列答案
相关题目