题目内容

已知向量

(Ⅰ)求函数的最小正周期及对称轴方程;

(Ⅱ)在△ABC中,角A,B,C的对边分别是,b=1,△ABC的面积为,求的值.

 

【答案】

(Ⅰ)最小正周期T=,对称轴方程为;(Ⅱ) .

【解析】

试题分析:(Ⅰ)利用平面向量的坐标运算及三角函数的和差倍半公式,首先化简函数,得到.明确最小正周期T=,对称轴方程为.

(Ⅱ)依题意得到,结合,推出A=

根据三角形面积求得c=2,由余弦定理得 .

本题较为典型,将三角函数、平面向量、正余弦定理巧妙地结合在一起 ,对考生能力考查较为全面.

试题解析:

(Ⅰ).             4分

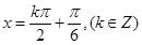
所以最小正周期T=,对称轴方程为          (6分)

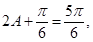
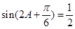
(Ⅱ)依题意,由于,

所以A=                        (9分)

又∵且b=1,∴得c=2,在中,由余弦定理得,所以                           (12分)

考点:平面向量的坐标运算,三角函数和差倍半公式,余弦定理的应用.

 

练习册系列答案
相关题目

违法和不良信息举报电话:027-86699610 举报邮箱:58377363@163.com

精英家教网