题目内容

已知锐角三角形ABC中,向量,且

(1)求角B的大小;

(2)当函数y=2sin2A+cos()取最大值时,判断三角形ABC的形状。

 

【答案】

(1);(2)三角形是正三角形.

【解析】

试题分析:(1)由可得:,整理化简得:

,又为锐角三角形,;(2)由(1),所以,这样,可将中的角C换掉,只留角A,将其看作关于角A的函数,利用三角函数即可求得其最大值时角A值,这样根据三个角的大小可确定三角形的形状.

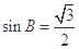
试题解析:           2分

            4分

锐角三角形中,          6分

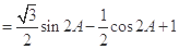
(2)由(1)知,所以

=

=

    9分

时,即有最大值.

此时三角形是正三角形.      12分

考点:1、向量与三角函数;2、三角函数的最值及三角形的形状.

 

练习册系列答案
相关题目

违法和不良信息举报电话:027-86699610 举报邮箱:58377363@163.com

精英家教网