题目内容
如图,在以点O为圆心,AB为直径的半圆中,D为半圆弧的中心,P为半圆弧上一点,且AB=4,∠POB=30°,双曲线C以A,B为焦点且经过点P.(1)建立适当的平面直角坐标系,求双曲线C的方程;
(2)设过点D的直线l与双曲线C相交于不同两点E、F,若△OEF的面积不小于
【答案】分析:(1)法一:以O为原点,AB、OD所在直线分别为x轴、y轴建立平面直角坐标系,则点A(-2,0),B(2,0),P
,则2a=|PA|-|PB|,2c=|AB|.由此能求出双曲线C的方程.
法二:以O为原点,AB、OD所在直线分别为x轴、y轴建立平面直角坐标系,则点A(-2,0),B(2,0),P
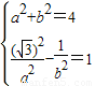
.设双曲线C的方程为
,则
,由此能求出双曲线C的方程.
(2)设直线l的方程为y=kx+2,代入双曲线C的方程,得(1-k2)x2-4kx-6=0.由直线l与双曲线C相交于不同两点E、F,能求出直线l的斜率的取值范围.
解答:解:(1)方法一:以O为原点,AB、OD所在直线分别为x轴、y轴建立平面直角坐标系,
则点A(-2,0),B(2,0),P
.
设双曲线实半轴长为a,虚半轴长为b,半焦距为c,
则
,2c=|AB|=4.
所以
,c=2,从而b2=c2-a2=2.
故双曲线C的方程是
…(6分)
方法二:以O为原点,AB、OD所在直线分别为x轴、y轴建立平面直角坐标系,
则点A(-2,0),B(2,0),P
.
设双曲线C的方程为
,
则
,
解得a2=b2=2,故双曲线C的方程是
. …(6分)
(2)据题意可设直线l的方程为y=kx+2,
代入双曲线C的方程得,x2-(kx+2)2=2,即(1-k2)x2-4kx-6=0.
因为直线l与双曲线C相交于不同两点E、F,
则
,即
,
设点E(x1,y1),F(x2,y2),
则
.
所以
=
.
又原点O到直线l的距离
.(11分)
所以
.
因为
,则
,
解得
.
综上分析,直线l的斜率的取值范围是
…(14分)
点评:本题考查双曲线方程的求法,考查直线的斜率的取值范围的求法,解题时要认真审题,注意挖掘题设中的隐含条件,合理地进行等价转化.
法二:以O为原点,AB、OD所在直线分别为x轴、y轴建立平面直角坐标系,则点A(-2,0),B(2,0),P
(2)设直线l的方程为y=kx+2,代入双曲线C的方程,得(1-k2)x2-4kx-6=0.由直线l与双曲线C相交于不同两点E、F,能求出直线l的斜率的取值范围.
解答:解:(1)方法一:以O为原点,AB、OD所在直线分别为x轴、y轴建立平面直角坐标系,
则点A(-2,0),B(2,0),P
设双曲线实半轴长为a,虚半轴长为b,半焦距为c,
则
所以
故双曲线C的方程是
方法二:以O为原点,AB、OD所在直线分别为x轴、y轴建立平面直角坐标系,
则点A(-2,0),B(2,0),P
设双曲线C的方程为
则
解得a2=b2=2,故双曲线C的方程是
(2)据题意可设直线l的方程为y=kx+2,
代入双曲线C的方程得,x2-(kx+2)2=2,即(1-k2)x2-4kx-6=0.
因为直线l与双曲线C相交于不同两点E、F,
则
设点E(x1,y1),F(x2,y2),
则
所以
=
又原点O到直线l的距离
所以
因为
解得
综上分析,直线l的斜率的取值范围是
点评:本题考查双曲线方程的求法,考查直线的斜率的取值范围的求法,解题时要认真审题,注意挖掘题设中的隐含条件,合理地进行等价转化.
练习册系列答案
相关题目