题目内容

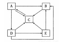
下图是生态系统中主要由生产者所进行的某种活动,试据图回答:

(1)该生理活动的名称是________。

(2)它主要是在叶肉细胞内被称为________的细胞器中进行的。

(3)图中字母A、B、C、各自所代表的名称是:

A.________、

B.________、

C.________。

(4)需要消耗A和B的生理过程③的名称是:________。

(5)图中编号①所代表的生理过程是________。

(6)如果在该细胞器基质中酶因某种原因而被破坏,则这一生理活动的两个阶段中最先受到影响的阶段是________。

(7)色素吸收的________能,在这一生理活动过程的________阶段,部分被转移到________中,转变为活跃的化学能,再经过这一生理过程的________阶段,转变为________化学能。

答案:
解析:

  (1)光合作用

  (2)叶绿体

  (3)ATP,NADPH,(CH2O)等有机物

  (4)CO2的还原

  (5)水在光下分解

  (6)Ⅱ暗反应

  (7)光,Ⅰ光反应,NADPH和ATP,Ⅱ暗反应,(CH2O)等有机物中的稳定的


练习册系列答案
相关题目

违法和不良信息举报电话:027-86699610 举报邮箱:58377363@163.com

精英家教网