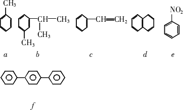
有如下几种化合物:
(1)上述有机物中,属于苯的同系物的是________(填序号,下同),属于芳香烃的是________,属于芳香族化合物的是________.
(2)上述有机物中,能使KMnO4酸性溶液褪色的是________,因化学反应而使溴水褪色的是________,等物质的量的上述物质与H2发生加成反应,消耗H2最多的是________.
电石中的碳化钙和水能完全反应:
(1)用下图所列仪器和导管组装实验装置.如果所制气体流向为从左向右时,下面仪器和导管从左到右直接连接的顺序(填各仪器、导管的序号)是:( )接( )接( )接( )接( )接( );
(2)仪器连接好后,进行实验时,有下列操作(每项操作只进行一次):①称取一定质量的电石,置于仪器3中,塞紧橡皮塞;②检查装置的气密性;③在仪器6和5中注入适量水;④待仪器3恢复到室温时,量取仪器4中水的体积(导管2中的水忽略不计);⑤慢慢开启仪器6中的活塞,使水逐渐滴下,至不产生气体时,关闭活塞.正确的操作顺序是________(填编号);
(3)若实验产生的气体有难闻的气味,且测定结果偏大,这是因为电石中含有________杂质;
(4)若实验时称取的电石为1.60 g,测量排出水的体积后,折算成标准状况下乙炔的体积为448 mL,则此电石中CaC2的质量分数为________.
2006年6月14日《中国证券报》报道,我国燃料乙醇的生产将步入快速发展阶段,以取代现在的汽油燃料.
汽车尾气污染已成为一重大公害.汽车内燃机中,汽油汽化后与空气按一定比例混合进入汽缸,引擎用电火花引燃.燃烧使汽缸内温度迅速升高,气体体积急剧膨胀,产生压力推动活塞.燃烧时产生有害气体通过尾气排出污染大气.为简化讨论,设汽油成分全部为辛烷,并设空气中O2的体积占,其余为N2.试定量讨论分析如下问题:
(1)设辛烷气体与空气的体积比(相同条件下)为a,要使辛烷完全燃烧,a的最大值为(用小数表示,设其为)________;
(2)若辛烷气体与空气的体积比大于时,污染大气的有害气体相对增多的是________,当它含x mol时,化学方程式为________;
(3)若辛烷气体与空气的体积比小于时,则尾气所含污染大气的有害气体增多的是________,产生此气体的化学方程式为________.
现有
已知可简写为,降冰片烯的分子结构可表示为.
(1)
降冰片烯属于
A.
环烷烃
B.
不饱和烃
C.
烷烃
D.
芳香烃
(2)
降冰片烯的分子式为
(3)
降冰片烯的一种同分异构体
(4)
降冰片烯不具有的性质
能溶于水
能发生氧化反应
能发生加成反应
常温常压下为气体
已知:在烷烃分子中的基团:-
(1)烷烃分子中氢原子数n0与n1、n2、n3、n4之间的关系是n0=________;
(2)四种碳原子数之间的关系为n1=________;
(3)若n2=n3=n4=1,则该分子的结构简式可能为(任写一种)________.
分子式为
由
(1)A的结构简式为________;
(2)有机物B与A的相对分子质量相同,A和B之间能发生酯化反应,生成有机物C,B烃基上的一氯取代物有3种,C的结构简式是________.
已知某有机物的结构简式如下:
①请你写出该有机物官能团的名称:
②验证该有机物中含有-
有机物
________、________、________.