阅读讨论并完成以下各项内容:
SO2是常见的大气污染物之一,我国规定空气中SO2含量不得超过0.02 mg/L.
(1)酸雨是降水呈酸性(pH小于5.6)的统称,个别地方甚至低于2.1(食醋的pH=3).引起酸雨的罪魁祸首是大气中的SO2和氮的氧化物.它们的主要来源是煤和石油的燃烧,全世界每年排放1.5亿吨的SO2.
①SO2可在空气中受光照等因素作用而被氧化,最终与雨水形成硫酸型酸雨.试写出这两个化学反应的方程式;________.
②汽车排放的尾气、硝酸厂和化肥厂的废气中都含有氮的氧化物,全世界每年排放量约为5×107 kg.NO2溶于水生成________和NO.
③酸雨可导致的危害有________(填序号).
A.腐蚀建筑物
B.导致树木枯萎
C.造成洪涝灾害
D.恶化人类环境
④为了减少酸雨的形成,必须减少SO2的排放量,对燃料中的硫化物进行________,对废气中的氮的氧化物用________吸收.
(2)某化学兴趣小组选用下图实验装置,测定工业原料气(含SO2、N2、O2)中SO2的含量(已知碘能氧化H2SO3,生成H2SO4).
①若原料气从左向右流时,上述装置连接的顺序是:原料气________(用字母和箭头表示).
②装置②中发生反应的离子方程式为:________;当装置②中出现________现象时,立即停止通气.
③你认为下列试剂中,可以用来代替试管中的碘的淀粉溶液的是________.
A.酸性KMnO4溶液
B.NaOH溶液
C.溴水
D.氨水
④若碘溶液的浓度为0.05 mol/L,体积为20 mL,收集到的N2与O2的体积为297.6 mL(已折算为标准状况下的体积).那么,SO2的含量是否超标?
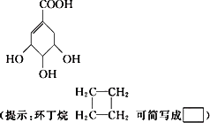
莽草酸是合成治疗禽流感的药物——达菲的原料之一.莽草酸是A的一种异构体.A的结构简式如下:
(1)A的分子式是________.
(2)A与溴的四氯化碳溶液反应的化学方程式(有机物用结构简式表示)是________.
(3)A与氢氧化钠溶液反应的化学方程式(有机物用结构简式表示)是________.
(4)17.4 g A与足量碳酸氢钠溶液反应,计算生成二氧化碳的体积________(标准状况).
(5)A在浓硫酸作用下加热可得到B(B的结构简式为),其反应类型是________.
(6)B的同分异构体中既含有酚羟基又含有酯基的共有________种,写出其中一种同分异构体的结构简式________.
你注意到汽车加油站内的标牌了吗?某些省市加油站提供的汽油标号由90#、93#换成了E90、E93,后者是在汽油中加入了10%的燃料乙醇而制得的乙醇汽油.燃料乙醇的生产过程由下图表示:
(1)
粉碎玉米的目的是________.
(2)
生产过程中为了检验淀粉水解是否完全,可使用的试剂是________.
(3)
步骤a的操作是
A.
蒸发
B.
萃取
C.
蒸馏
D.
分液
(4)
发酵产生的CO2纯度可达到99%,能回收利用,请举出它的两项用途:________、________.
(5)
以玉米等淀粉原料生产乙醇的化学反应可用下式表示:
(C6H10O5)n+nH2OnC6H12O6
C6H12O62C2H5OH+2CO2
根据上述反应式,可以算出100 kg淀粉理论上可生产无水乙醇________kg.(相对分子质量:C-12 H-1 O-16)
(6)
下图是燃料乙醇的生产和消费过程示意图.虽然燃料乙醇的使用缓解了汽车能源的紧张状况,但仍存在一些问题.由此可知,燃料乙醇
是最理想的绿色能源
提供的能量来自于太阳能
生产和消费过程对空气没有任何影响
生产过程中将消耗大量粮食,以避免粮食过剩
某含苯环的化合物A,其相对分子质量为104,碳的质量分数为92.3%.
(1)A的分子式为________;
(2)A与溴的四氯化碳溶液反应的化学方程式为________,反应类型是________;
(3)已知请写出A与稀、冷的KMnO4溶液在碱性条件下反应的化学方程式________.
(4)一定条件下,A与氢气反应,得到的化合物中碳的质量分数为85.7%,写出此化合物的结构简式________;
(5)在一定条件下,由A聚合得到的高分子化合物的结构简式为________.
醛或酮分子中可与HCN加成,加成产物经水解,在分子结构中引入羧基,反应如下:
根据上述反应原理,以丙酮()为原料合成有机玻璃(为下图中的E),已知有机玻璃的学名为“聚甲基丙烯酸甲酯”,为加聚反应的产物.
(1)写出A、B、C、D的结构简式:
A:________;B:________;C:________;D:________.
(2)写出下列反应的化学方程式:
①C→D:________.
②D→E:________.
A、B、C、D四种元素,A元素所处的周期数、主族序数、原子序数均相等;B的原子半径是其所在主族中最小的,B的最高价氧化物对应水化物的化学式为HBO3;C元素原子的最外层电子数比次外层少2个;C的阴离子与D的阳离子具有相同的电子排布,两元素可形成化合物D2C.
(1)B元素的名称________,原子结构示意图为________.
(2)A、B形成的化合物的化学式为________,B在元素周期表中的位置是________.
(3)C的元素符号为________,C的最高价氧化物的化学式是________.
(4)D的阳离子的结构示意图________,D的最高价氧化物对应的水化物的化学式为________.
盐酸利多卡因(F)葡萄糖注射液抗心律失常
(1)B在核磁共振氢谱上有________种特征峰,C→D的反应类型是________.
(2)B的同分异构体种类很多,符合以下条件的B的同分异构体共有________种.
①属于苯的衍生物,苯环上共有三个取代基;
②与碳酸钠溶液反应可放出CO2气体.
(3)写出与足量的NaOH溶液共热充分反应后所得产物化学式中含三个氧原子,则1 mol该物质最终消耗NaOH为________mol.
(4)现仅以有机物CH3CH=CHCH3为原料,无机试剂任选,用反应流程图表示合成有机物CH3COOCH2CH=CHCH2OOCCH3的过程(要注明反应条件等).
提示:
A是由导热材料制成的密闭容器,B是一耐化学腐蚀且易于传热的气球.关闭K2,将等量且少量的NO2通过K1、K3分别充入A、B中,反应起始时,A、B的体积相同.(已知:2NO2(g)N2O4(g) ΔH<0)
(1)一段时间后,反应达到平衡,此时A、B中生成的N2O4的速率是vA________vB.(填“>”、“<”或“=”);若打开活塞K2,气球B将________(填“变大”、“变小”或“不变”).
(2)若在A、B中再充入与初始量相等的NO2,则达到平衡时,NO2的转化率αA将________(填“增大”、“减小”或“不变”);若通人等量的Ne气,则达到平衡时,A中NO2的转化率将________,B中NO2的转化率将________(填“变大”、“变小”或“不变”).
(3)室温下,若A、B都保持体积不变,将A套上一个绝热层,B与外界可以进行热传递,则达到平衡时,________中的颜色较深.
(4)若在容器A中充入4.6 g的NO2,达到平衡后容器内混合气体的平均相对分子质量为57.5,则平衡时N2O4的物质的量为________.
下图是一个化学过程的示意图.已知甲池的总反应式为:
2CH3OH+3O2+4KOH2K2CO3+6H2O
(1)请回答图中甲、乙两池的名称.甲电池是________装置,乙池是________装置.
(2)请回答下列电极的名称:通入CH3OH的电极名称是________,B(石墨)电极的名称是________.
(3)写出电极反应式:通入O2的电极的电极反应式是________.
A(Fe)电极的电极反应式为________,
(4)乙池中反应的化学方程式为________.
(5)当乙池中A(Fe)极的质量增加5.40 g时,甲池中理论上消耗O2________mL(标况下)
下图中A、B、C、D、E、F、G均为有机化合物.
根据上图回答问题:
(1)D的化学名称是________.
(2)反应③的化学方程式是________(有机物须用结构简式表示)
(3)B的分子式是________,所含官能团名称为________.A的结构简式是________.反应①的反应类型是________.
(4)符合下列3个条件的B的同分异构体的数目有________个.
①含有邻二取代苯环结构;②与B有相同官能团;③不与FeCl3溶液发生显色反应.
写出其中任意一个同分异构体的结构简式________.
(5)G是重要的工业原料,用化学方程式表示G的一种重要的工业用途.________.