A是用途最广的金属,B、C是两种常见气体单质,E溶液为常见强酸,D溶液中滴加KSCN溶液显红色,它们相互转化关系如图所示.
请回答:
(1)写出B物质的化学式:________;F的名称:________.
(2)写出第③步反应的化学方程式为________.
(3)第④步反应中溶液颜色的变化________;
(4)F溶液中滴入NaOH溶液可能产生的实验现象是________.
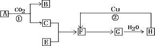
下图是各物质的反应关系图:已知A和E都是黄色粉末.F有刺激性气味且有漂白性常被不法商人用来漂白腐竹等.请据此回答下列问题:
(1)写出下列各物质的化学式:
A.________ E.________
(2)写出图中编号的化学方程式:
①________
②________
随着世界粮食需求量的增长,农业对化学肥料的需求量越来越大,其中氮肥是需求量最大的一种化肥.而氨的合成为氮肥的生产工业奠定了基础,其原理为:N2+3H22NH3
(1)
在N2+3H22NH3的反应中,一段时间后,NH3的浓度增加了0.9 mol·L-1.用N2表示其反应速率为0.15 mol·L-1·s-1,则所经过的时间为________;
A.
2 s
B.
3 s
C.
4 s
D.
6 s
(2)
下列4个数据是在不同条件下测得的合成氨反应的速率,其中反应最快的是________;
v(H2)=0.1 mol·L-1·min-1
v(N2)=0.1 mol·L-1·min-1
v(NH3)=0.15 mol·L-1·min-1
v(N2)=0.002 mol·L-1·min-1
(3)
在一个绝热、容积不变的密闭容器中发生可逆反应:N2(g)+3H2(g)2NH3(g) ΔH<0.下列各项能说明该反应已经达到平衡状态的是________.
容器内气体密度保持不变
容器内温度不再变化
断裂1 mol N≡N键的同时,断裂6 mol N-H键
反应消耗N2、H2与产生NH3的速率之比1∶3∶2
2008年北京奥运会所用火炬燃料为丙烷(C3H8),悉尼奥运会所用火炬燃料为65%丁烷(C4H10)和35%丙烷(C3H8),已知常温下1 mol丙烷燃烧放出2220 kJ热量,1 mol正丁烷燃烧放出2878kJ热量,1 mol异丁烷燃烧放出2869.6 kJ热量.试回答下列问题:
(1)表示正丁烷燃烧的热化学反应方程式________;
(2)下列有关说法正确的是________;
A.奥运火炬燃烧时的能量转化主要是由化学能转变为热能
B.相同条件下,正丁烷的热值比丙烷大
C.正丁烷比异丁烷不稳定
D.异丁烷分子中的碳氢键比正丁烷的多
(3)已知1 mol H2燃烧生成液态水放出热量是285.8 kJ,现有5 mol氢气和丙烷的混合气体,完全燃烧时放热3847kJ,则氢气和丙烷的体积比为________.
某有机物A由C、H、O三种元素组成,90克A完全燃烧可生成132克CO2和54克H2O.试求:
(1)该有机物的最简式________.
(2)若符合该最简式的A物质可能不止一种,则它们之间的关系________(填序号)
A.一定互为同系物
B.一定互为同分异构体
C.等质量的它们完全燃烧耗氧量相同
D.等物质的量的它们完全燃烧耗氧量相同
(3)若A是具有水果香味的液体,可发生水解反应,写出A与NaOH溶液反应的化学方程式________.
(4)若A的相对分子质量为180,能发生银镜反应,也能发生酯化反应,则A的结构简式为________.
A、C、E、H是常见单质,B、F是常见氧化物,D是无色液体,I的焰色反应呈黄色.它们之间的转化关系如下图所示:请回答
(1)写出反应式①②的化学方程式:
①________,
②________.
(2)写出反应③的离子方程式________.
(3)写出A和G溶液反应的离子方程式:________.
某有机物的结构简式为HOCH2CH=CHCOOH,
(1)写出该有机物中所含的官能团的名称________.
(2)写出该有机物与溴水反应的化学方程式________.
(3)写出该有机物与足量NaHCO3溶液反应的化学方程式________.
(4)写出该有机物与乙酸反应的化学方程式________.
在2 L密闭容器内,800℃时反应:2NO(g)+O2(g)2NO2(g)体系中,n(NO)随时间的变化如表:
(1)NO的平衡转化率为________.
(2)下图中表示NO2的浓度变化曲线是________.用O2表示从0~2 s内该反应的平均速率v=________.
(3)能说明该反应已达到平衡状态的是________.
a.v(NO2)=2v(O2)
b.容器内压强保持不变
c.v逆(NO)=2v正(O2)
d.容器内混合气体的密度保持不变
e.该容器内颜色保持不变
A是化学实验室中常见的有机物,它易溶于水并有特殊香味,并能进行如图所示的多种反应.
(1)写出A的化学式________.
(2)下列反应的化学方程式
反应①:________.
反应②:________.
反应③:________.
反应④:________.
(3)比较反应①与钠和水反应的现象有什么相同和不同
相同点:________.
不同点:________.
废旧印刷电路板的回收利用可实现资源再生,并减少污染.废旧印刷电路板经粉碎分离,能得到非金属粉末和金属粉末.
(1)下列处理印刷电路板非金属粉末的方法中,不符合环境保护理念的是________(填字母).
A.热裂解形成燃油
B.露天焚烧
C.作为有机复合建筑材料的原料
D.直接填埋
(2)用H2O2和H2SO4的混合溶液可溶出印刷电路板金属粉末中的铜.已知:
Cu(s)+2H+(aq)Cu2+(aq)+H2(g) ΔH=64.39 KJ·mol-1
2H2O2(l)2H2O(l)+O2(g) ΔH=-196.46 KJ·mol-1
H2(g)+O2(g)H2O(l) ΔH=-285.84 KJ·mol-1
在H2SO4溶液中Cu与H2O2反应生成Cu2+和H2O的热化学方程式为________.
(3)在298 K下,C、Al的单质各1 mol完全燃烧,分别放出热量aKJ和b KJ.又知一定条件下,Al能将C从CO2置换出来,写出此置换反应的热化学方程式________.