某温度时,在2 L容器中X、Y、Z三种气体物质的物质的量(n)随着时间(t)变化的曲线如图所示.由图中的数据分析:
(1)
该反应的化学方程式为________.
(2)
反应开始至2 min,用Z表示的平均反应速率为________.
(3)
下列叙述能说明上述反应达到平衡状态的是
A.
X、Y、Z的物质的量之比为3∶1∶2
B.
混合气体的压强不随时间的变化而变化
C.
单位时间内每消耗3 mol X,同时生成2 mol Z
D.
混合气体的总质量不随时间的变化而变化
E.
混合气体的总物质的量不随时间的变化而变化
A、B、X、Y和Z是原子序数依次递增的短周期元素,其中A与Y同主族,X与Z同主族,A与B和X均可形成10个电子化合物;B与Z的最外层电子数之比为2∶3,常见化合物Y2X2与水反应生成X的单质,其溶液可使酚酞试液变红.请回答下列问题.
Z的原子结构示意图为________;化合物BA4的电子式为________.
化合物Y2X2中含有的化学键类型有
离子键
极性共价键
非极性共价键
氢键
化合物Y2X2和A2X反应的化学方程式________.
(4)
请用电子式表示Y2Z的形成过程________.
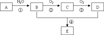
A是一种红棕色金属氧化物,B、D是金属单质,J是一种难溶于水的白色化合物,受热后容易发生分解.
(1)写出下列物质的化学式:
A:________E:________J:________G:________.
(2)按要求写方程式:
F在空气中转化为G的化学方程式:________;
C转化为I的离子方程式:________;
I转化为J的离子方程式:________.
有机物D对花香和果香的香韵具有提升作用,故常用于化妆品工业和食品工业.有机物D可以用下面的设计方案合成.
(1)A的结构简式:________,C的名称:________.
(2)写出反应
(3)写出反应
(4)请写出三个同时符合下列条件的D的同分异构体:
A、属于芳香酯类;B、苯环上只有一个侧链.________.
取8 g某有机物A,完全燃烧后只生成11 g CO2和9 g H2O.回答下列问题:
(1)A分子中________(填:“是”或“不”)含氧元素.理由是(用数据说明)________.
(2)A的实验式(最简式)为:________.
(3)A的分子式能否确定?(填:“能”或“否”)________,理由是________.
某有机物A的结构简式如图.
(1)1 mol A与NaOH溶液充分反应,消耗NaOH的物质的量是________.
(2)1 mol A与金属钠在一定条件下充分反应可生成标准状况下气体的体积为________.
(3)A与NaHCO3溶液反应的化学方程式是:________.
下图是维生素A的分子结构:
(1)维生素A中的含氧官能团是________(写名称);
(2)维生素A的分子式是________;
(3)1 mol维生素A最多能与________mol溴反应;
(4)试指出维生素A可能发生的化学反应类型________(任写一种即可).
有A、B、C三种烃的衍生物,相互转化关系如下:
其中B可发生银镜反应,C跟石灰石反应产生能使石灰水变浑浊的气体.则
(1)推断A、B、C的名称依次是________、________、________.
(2)写出下列反应的化学方程式
A→B________
B→C________
B→A________
B的银镜反应________
已知
请回答下列问题:
(
①
④
用纯净的锌粒与稀盐酸反应制取氢气气体,请回答:
实验过程如下图所示,分析判断
为了减缓上述反应的速率,欲向溶液中加入下列物质,你认为可行的是
蒸馏水
氯化钠固体
氯化钠溶液
浓盐酸
除了上述方法外,你认为还可以采取哪些措施来减缓化学反应速率?(回答一种即可)