|
X、Y、Z、W是原子序数依次增大的短周期元素,且互不同族;其中只有两种为金属;X原子的最外层电子数与次外层电子数相等;X与W、Y与Z这两对原子的最外层电子数之和均为9.单质Y和W都可与浓的NaOH溶液反应.下列说法不正确的是 | |
A. |
原子半径:Y>Z>W |
B. |
非金属性最强的元素为W |
C. |
Y的最高价氧化物对应的水化物为强碱 |
D. |
XW2分子中各原子最外层电子均达到8电子结构 |
|
同族元素所形成的同一类型的化合物,其结构和性质往往相似.化合物PH4I是一种白色晶体,下列对它的描述中正确的是 | |
A. |
它是一种共价化合物 |
B. |
在加热时此化合物可以分解为PH3和HI |
C. |
这种化合物不能跟碱反应 |
D. |
该化合物可以由PH3和HI化合而成 |
|
短周期元素X、Y可以形成化合物XY2,下列有关叙述不正确的是 | |
A. |
若XY2是共价化合物,则X与Y的原子序数可能相差1 |
B. |
若XY2是离子化合物,则X与Y的原子序数可能相差8 |
C. |
若X与Y的原子序数相差5,则离子化合物XY2中X的离子半径比Y离子半径小 |
D. |
若X与Y的原子序数相差6,则共价化合物XY2可溶于强碱溶液 |
|
核电荷数小于18的某元素X,其原子核外电子层数为a,最外层电子数为(2a+1).下列有关元素X的说法中,不正确的是 | |
A. |
X的原子核内质子数为(2a2-1) |
B. |
X的原子半径一定小于钠的原子半径 |
C. |
由元素X形成的某些化合物,可能具有杀菌消毒的作用 |
D. |
元素X形成的简单离子,各电子层的电子数均达到2n2个(n表示电子层数) |
|
下图为元素周期表截取的短周期的一部分,即 | |
A. |
原子半径:W>Z>Y>X |
B. |
气态氢化物的稳定性:Z>W>X>Y |
C. |
W的最高正化合价与负化合价的绝对值可能相等 |
D. |
Z的最高价氧化物的水化物可能为强碱 |
|
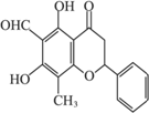
某天然有机化合物,其结构如下图所示,关于该化合物的说法正确的是
| |
A. |
该化合物可以发生消去反应 |
B. |
该化合物的分子式是C17H13O5 |
C. |
一定条件下,1 mol该化合物最多可以和2 mol Na发生反应 |
D. |
一定条件下,该化合物可以发生银镜反应 |
|
下列各组离子在碱性条件下可以大量共存,而在强酸性条件下能生成气体的是: | |
A. |
Na+、Fe2+、NO |
B. |
K+、Mg2+、HCO |
C. |
Na+、K+、SO |
D. |
Ba2+、Na+、CO |
|
可逆反应aA(?)+2B(g)
| |
A. |
达到平衡后,加入催化剂则C%增大 |
B. |
达到平衡后,若升高温度,平衡向右移动 |
C. |
a可以为任意的正整数 |
D. |
达平衡后,增加A的量,有利于平衡向右移动 |
|
反应N2O4(g)
| |
A. |
A、C两点的反应速率:A>C |
B. |
A、C两点气体的颜色:A深,C浅 |
C. |
由状态B到状态A,可以用加热的方法 |
D. |
保持其它条件不变,在A点加入适当量的N2O4或NO2均能到达C点. |