|
某离子的结构示意图与Mg2+相同,则下列说法正确的是 | |
| [ ] | |
A. |
该离子一定在第三周期 |
B. |
该离子一定在第二周期 |
C. |
若该离子是阳离子,则一定在第三周期 |
D. |
若该离子是阴离子,则一定在第三周期 |
|
俄罗斯科学家用含20个质子的钙的一种原子轰击含95个质子的镅原子,结果4次成功合成4个第115号元素的原子.这4个原子生成数微秒后衰变成第113号元素.下列有关叙述正确的是 | |
| [ ] | |
A. |
115号元素在第六周期 |
B. |
113号元素在第七周期ⅢA族 |
C. |
115号和113号元素都是非金属元素 |
D. |
镅元素和115号元素不在同一周期 |
|
2008年北京奥运会的“祥云”火炬所用燃料的主要成分是丙烷,下列有关丙烷的叙述中不正确的是 | |
| [ ] | |
A. |
分子中碳原子不在一条直线上 |
B. |
光照下能够发生取代反应 |
C. |
比丁烷更易液化 |
D. |
是石油分馏的一种产品 |
|
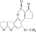
最近,媒体报道不法商贩销售“致癌大米”,已验证这种大米中含有黄曲霉毒素(AFTB),其分子结构式为如下图所示,人体的特殊基因在黄曲霉素的作用下会发生突变,有转变为肝癌的可能.一般条件下与1 mol AFTB起反应的H2或NaOH的最大量分别是
| |
| [ ] | |
A. |
6 mol;1 mol |
B. |
5 mol;1 mol |
C. |
6 mol;2 mol |
D. |
5 mol;2 mol |
|
将 | |
| [ ] | |
A. |
乙酸乙酯、乙酸、① |
B. |
乙酸乙酯、乙醇、② |
C. |
乙醇、水、② |
D. |
乙酸、水、① |
|
下列实验方案合理的是
| |
| [ ] | |
A. |
配制银氨溶液:向洁净试管中加一定量AgNO3溶液后,边滴加稀氨水边摇动试管直至最初产生的沉淀恰好溶解 |
B. |
配制Cu(OH)2悬浊液:在一定量CuSO4溶液中,加入少量NaOH溶液 |
C. |
制备乙酸乙酯:用右图所示的实验装置 |
D. |
鉴别甲苯和苯:将溴的四氯化碳溶液分别滴加到少量甲苯和苯中 |