用硫酸酸化的CrO3遇酒精后,其颜色会从红色变为蓝绿色,用这个现象可以测得汽车司机是否酒后开车。反应的方程式为2CrO3 + 3C2H5OH + 3H2SO4 == Cr2(SO4)3 + 3CH3CHO + 6H2O,此反应的氧化剂是 ( )
A 、H2SO4 B、 CrO3 C、Cr2(SO4)3 D 、C2H5OH
下列离子方程式正确的是( )
A乙酸与碳酸钠溶液反应:2H++CO== CO2↑+H2O
B醋酸溶液与新制氢氧化铜反应:
CH3COOH+OH - —→ CH3COO-+H2O
C苯酚钠溶液中通入少量二氧化碳:
2C6H5O-+CO2+H2O 2C6H5OH+CO
D甲醛溶液与足量的银氨溶液共热
HCHO+4[Ag(NH3)2]++4OH-CO+2NH+4Ag↓+6NH3+2H2O
分子式为CnH2n+1OH(n¹1)的醇不能发生消去反应,n的最小值是( )
A. 2 B. 3 C. 4 D.5
—Cl
①加成; ②水解; ③酯化; ④氧化; ⑤中和; ⑥消去; ⑦还原
A.①②③④⑤⑥⑦ B.①③④⑤⑥⑦ C.①②③⑤⑥⑦ D. ②③④⑤⑥⑦
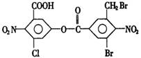
已知苯环上由于取代基的影响,使硝基邻位上的卤原子的反应活性增强,现有某有机物的结构简式如右图:1mol该有机物与足量的氢氧化钠溶液混合并共热,充分反应后最多可消耗氢氧化钠的物质的量为a(不考虑硝基与氢氧化钠的反应),则a是( )
A.5mol B.6mol
C.7mol D.8mol
下列说法正确的是( )
A.苯中混有苯酚用溴水除去
B.将铁屑、溴水、苯混合制溴苯
C.用3mL乙醇、2mLH2SO4、2mL冰醋酸制乙酸乙酯,为增大反应速率,现改用6mL乙醇、4mLH2SO4、4mL冰醋酸
D.丙烷中混有乙烯不能用酸性高锰酸钾溶液除杂
已知 和 互为同分异构体(称作“顺反异构体”),则化学式为C3H5Cl的链状的同分异构体共有( )
A.3种 B.4种 C.5种 D.6种
10g某一元醇A和乙酸在一定条件下,生成某酯17.6g,还回收未反应的醇A 0.8g,则A 为( )
A 甲醇 B 乙醇 C 苯甲醇 D 1-丁醇
某化合物的分子式为C5H11Cl,分析数据表明:分子中有两个-CH3、两个-CH2-、一个和一个-Cl,它的可能的结构有几种( )
A.2 B.3 C.4 D.5
下列叙述中正确的是( )
A、用玉米、植物秸秆等作原料制造乙醇,用作汽车的燃料
B、利用油脂在酸性条件下水解,可以生产甘油和肥皂
C、淀粉与纤维素分子式都为(C6H10O5)n而结构不同,所以它们互为同分异构体
D、1mol羟基含有电子数10NA