(14分)夜幕降临,北京奥运会主会场“鸟巢”内灯火辉煌,鼓瑟齐鸣。璀璨的烟花在空中组成奥运五环等图案,与场内表演相呼应。鸟巢夜景照明由五个部分组成,其中主体照明以传统文化元素“中国红”为主色。请回答下列问题:

⑴火焰利用了部分金属的元素特征的                反应,该反应属于      (填“物理”或“化学”)变化。

⑵下图所示的五元环代表A、B、C、D、E五种化合物,圆圈交叉部分指两种化合物含有一种相同元素,五种化合物由五种短周期元素形成,每种化合物仅含两种元素,A是沼气的主要成分,B、E分子中所含电子数均为18,B不稳定,具有较强的氧化性,其稀溶液是医疗上广泛使用的消毒剂,E的分子结构模型为,C、D均为原子晶体,C可作为光导纤维的主要材料,D中所含两种元素的原子个数比为3:4,电子总数之比为3:2。根据以上信息回答下列问题:

①B的水溶液呈弱酸性,是二元弱酸,其主要的电离方程式可表示为__________               

D的化学式是_____              ____。②A、B、E中均含有的一种元素为____________ (填元素名称) 。

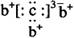
③E电子式为____________________。

④NH3分子中的N原子有一对孤对电子,能发生反应:NH3+HCl=NH4Cl。试写出E与足量盐酸时,发生反应的化学方程式

                                                         

⑶在实验室我国科研人员应用电子计算机模拟出具有高能的物质N60,它的结构与C60十分相似。已知N60分子中每个N原子均以氮氮单键结合三个氮原子,且N60结构中每个氮原子均形成8个电子的稳定结构。试推测1个N60分子的结构中含有_________个N—N。

 

 0  75839  75847  75853  75857  75863  75865  75869  75875  75877  75883  75889  75893  75895  75899  75905  75907  75913  75917  75919  75923  75925  75929  75931  75933  75934  75935  75937  75938  75939  75941  75943  75947  75949  75953  75955  75959  75965  75967  75973  75977  75979  75983  75989  75995  75997  76003  76007  76009  76015  76019  76025  76033  203614 

违法和不良信息举报电话:027-86699610 举报邮箱:58377363@163.com

精英家教网